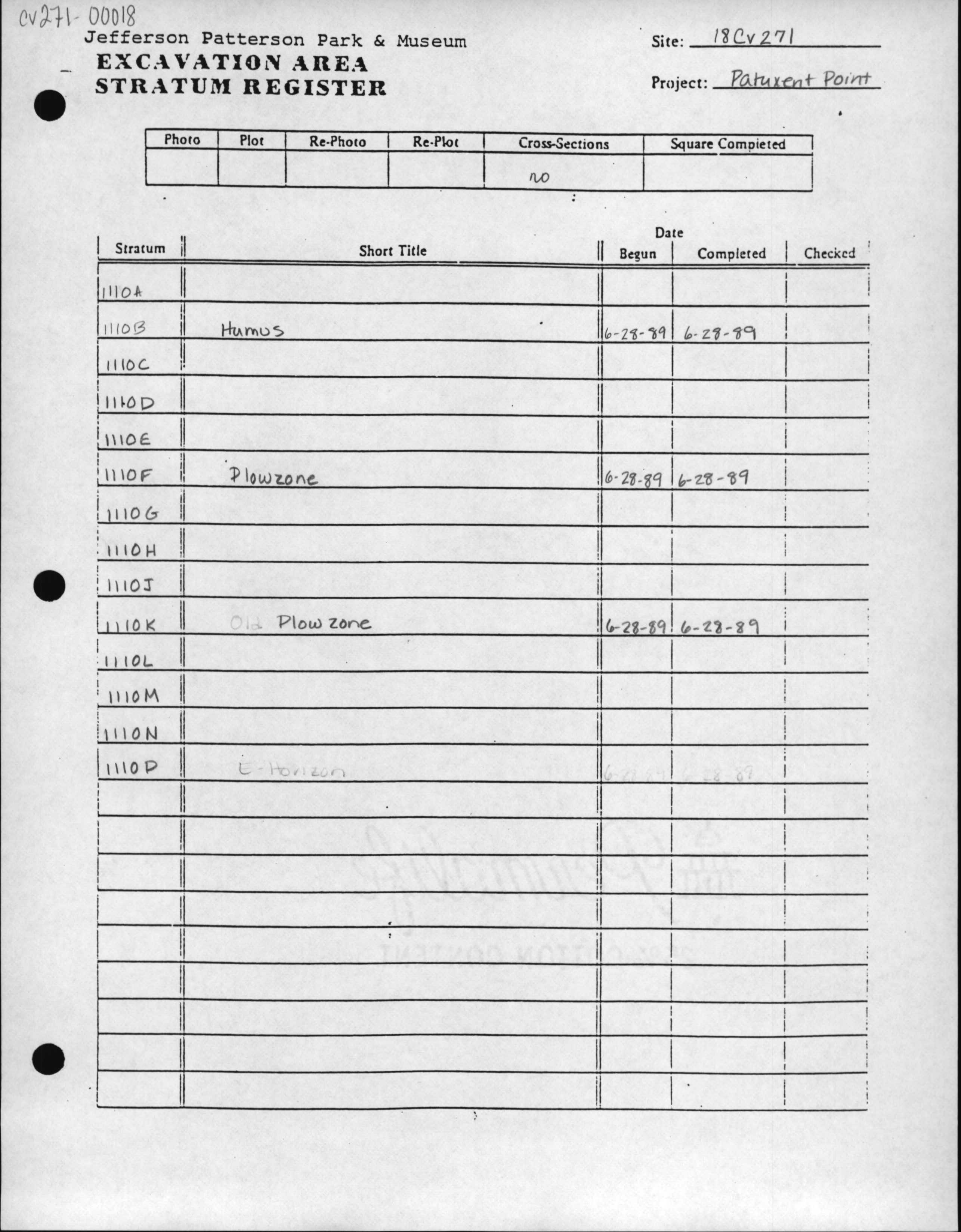
18CV271

Square 1110, Strata A-M, Humus and Plowzone

View/Download Full Size Image
 
Site Number: 18CV271
Document No: cv271-00018
Document Title: Square 1110, Strata A-M, Humus and Plowzone
Document Type: stratum register
Parent Doc: cv271-00018
Document Id: 5505
Excavation Unit: 1110
Area:
Block:
Stratigraphic Unit:
Site Level:
Stratum: a, b, c, d, e, f, g, h, j, k, l, m
Layer: humus, pz
Section:
Feature No:
Postmold No:
Burial:
Trench:
Operation:
Phase: 3
NSEWCoord: 100-110N/100-110E
Lot: 10, 11, 9
LotsNSEW:
Date Recorded: 1989-06-28, 1998-06-28
Notes:


Thank you for visiting our web site. If you have any questions, comments,
or new information to share, please contact us at [email protected].
 
     

An online archive of over 30 archaeological sites in Maryland, produced by the Maryland Archaeological Conservation Lab with the support of the National Endowment of the Humanities.